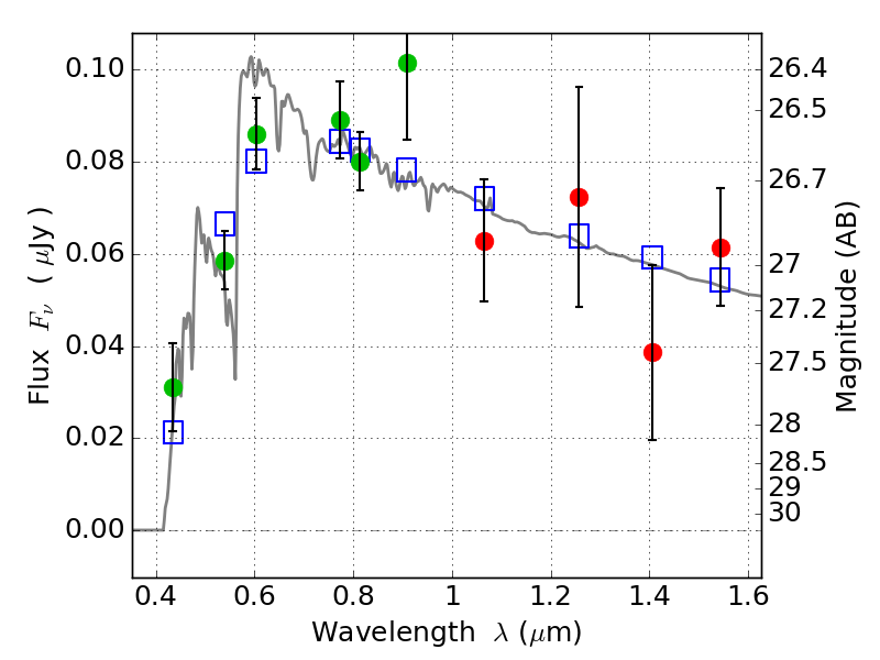
RXC0018+16 IR detection object #957

Color images and BPZ results
Catalog: 957.cat
Black segments are analyzed here.   Roll mouse over color images to view segments.
Best viewed in a wide browser window (1200 pixels or more).   Download SED & P(z) plots to view larger versions.
In P(z) plots: Yellow lines mark the cluster redshift z = 0.546,  

Object #957   x,y = (5177, 3043)   RA, Dec = (00:18:28.224, 16:25:39.00) = (4.61760, 16.42750)   BPZ = 3.632 [0.284--3.810]   type = 10.70 (SB11_A_0_l - SB3_B10)   stellarity = 0.00   chisq2 = 0.85   ODDS = 0.89   z_cluster = 0.546