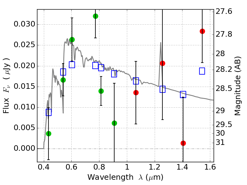
RXC0018+16 IR detection object #731

Color images and BPZ results
Catalog: 731.cat
Black segments are analyzed here.   Roll mouse over color images to view segments.
Best viewed in a wide browser window (1200 pixels or more).   Download SED & P(z) plots to view larger versions.
In P(z) plots: Yellow lines mark the cluster redshift z = 0.546,  

Object #731   x,y = (3679, 3406)   RA, Dec = (00:18:34.464, 16:26:00.60) = (4.64360, 16.43350)   BPZ = 3.453 [0.171--3.819]   type = 11.00 (SB11_A_0_l)   stellarity = 0.63   chisq2 = 1.94   ODDS = 0.37   z_cluster = 0.546