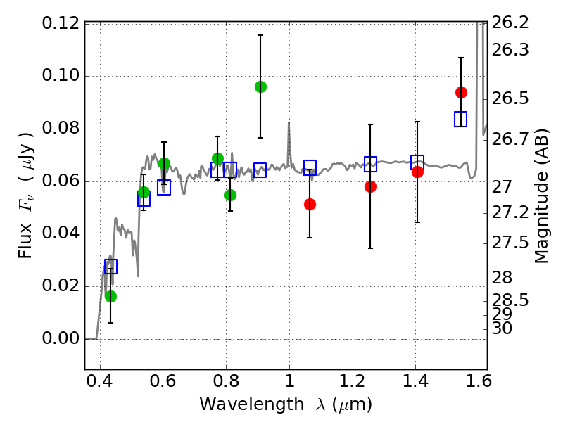
RXC0018+16 IR detection object #721

Color images and BPZ results
Catalog: 721.cat
Black segments are analyzed here.   Roll mouse over color images to view segments.
Best viewed in a wide browser window (1200 pixels or more).   Download SED & P(z) plots to view larger versions.
In P(z) plots: Yellow lines mark the cluster redshift z = 0.546,  

Object #721   x,y = (3518, 3425)   RA, Dec = (00:18:35.136, 16:26:01.68) = (4.64640, 16.43380)   BPZ = 3.298 [0.253--3.536]   type = 9.70 (SB3_B10 - SB2_B10)   stellarity = 0.00   chisq2 = 1.06   ODDS = 0.52   z_cluster = 0.546