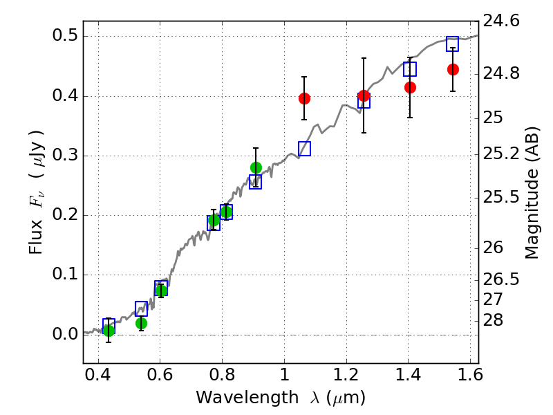
RXC0018+16 IR detection object #509

Color images and BPZ results
Catalog: 509.cat
Black segments are analyzed here.   Roll mouse over color images to view segments.
Best viewed in a wide browser window (1200 pixels or more).   Download SED & P(z) plots to view larger versions.
In P(z) plots: Yellow lines mark the cluster redshift z = 0.546,  

Object #509   x,y = (4728, 3771)   RA, Dec = (00:18:30.096, 16:26:22.56) = (4.62540, 16.43960)   BPZ = 0.465 [0.351--4.426]   type = 4.00 (Ell4_A_0)   stellarity = 0.00   chisq2 = 0.71   ODDS = 0.52   z_cluster = 0.546