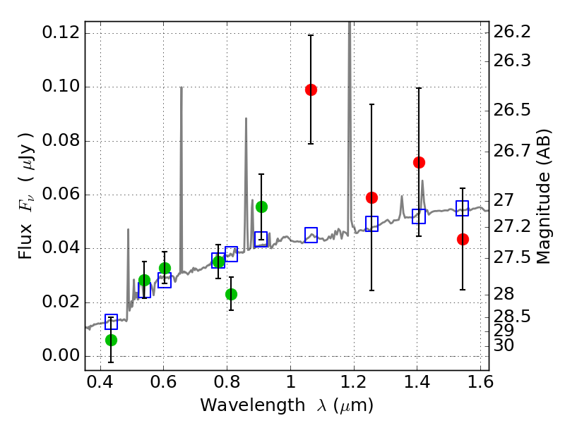
RXC0018+16 IR detection object #1204

Color images and BPZ results
Catalog: 1204.cat
Black segments are analyzed here.   Roll mouse over color images to view segments.
Best viewed in a wide browser window (1200 pixels or more).   Download SED & P(z) plots to view larger versions.
In P(z) plots: Yellow lines mark the cluster redshift z = 0.546,  

Object #1204   x,y = (4024, 2180)   RA, Dec = (00:18:33.024, 16:24:47.16) = (4.63760, 16.41310)   BPZ = 0.311 [0.157--3.672]   type = 8.30 (SB1_B10 - SB2_B10)   stellarity = 0.71   chisq2 = 2.04   ODDS = 0.12   z_cluster = 0.546