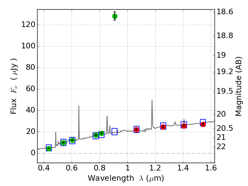
RXC0018+16 IR detection object #1081

Color images and BPZ results
Catalog: 1081.cat
Black segments are analyzed here.   Roll mouse over color images to view segments.
Best viewed in a wide browser window (1200 pixels or more).   Download SED & P(z) plots to view larger versions.
In P(z) plots: Yellow lines mark the cluster redshift z = 0.546,  

Object #1081   x,y = (4242, 2749)   RA, Dec = (00:18:32.112, 16:25:21.36) = (4.63380, 16.42260)   BPZ = 0.304 [0.284--0.340]   type = 7.70 (SB1_B10 - Scd_B10)   stellarity = 0.03   chisq2 = 93.31   ODDS = 1.00   z_cluster = 0.546