RXC0018+16 ACS+IR detection object #8358

Color images and BPZ results
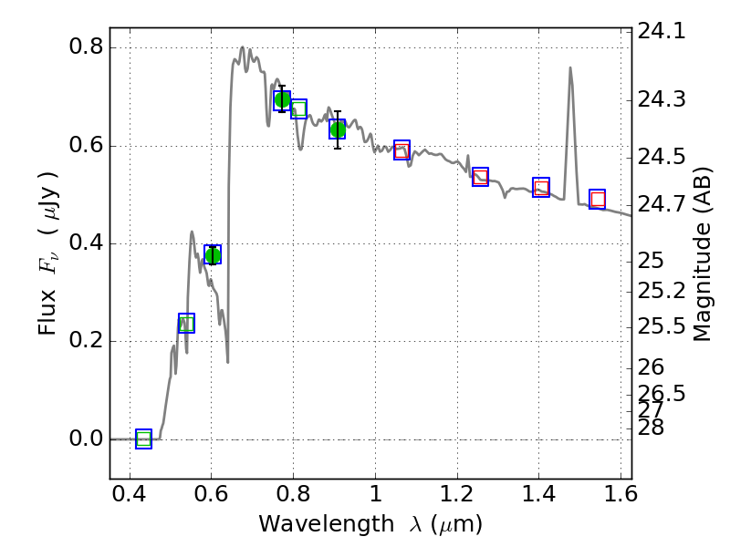
Catalog: 8358.cat
Black segments are analyzed here.   Roll mouse over color images to view segments.
Best viewed in a wide browser window (1200 pixels or more).   Download SED & P(z) plots to view larger versions.
In P(z) plots: Yellow lines mark the cluster redshift z = 0.546,  

Object #8358   x,y = (6436, 3101)   RA, Dec = (00:18:22.968, 16:25:42.24) = (4.59570, 16.42840)   BPZ = 4.281 [0.540--4.351]   type = 10.60 (SB11_A_0_l - SB3_B10)   stellarity = 0.02   chisq2 = 0.01   ODDS = 0.58   z_cluster = 0.546