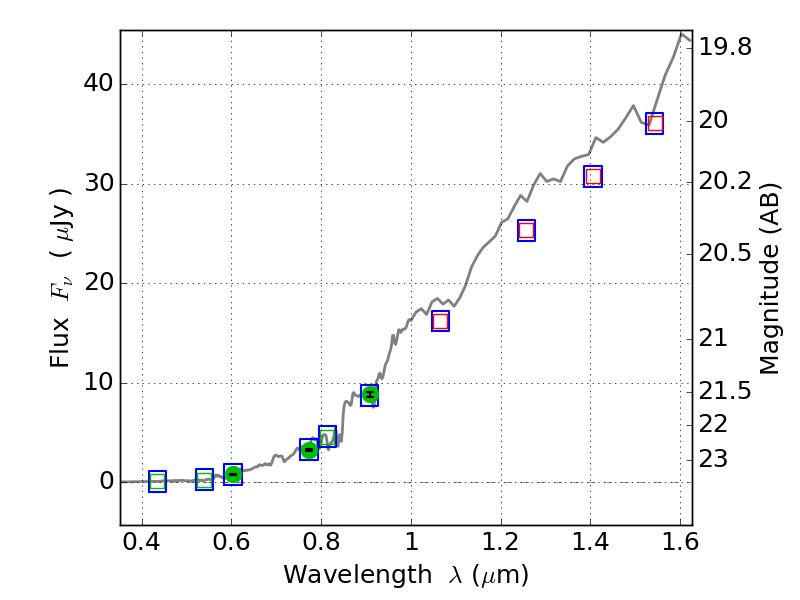
RXC0018+16 ACS+IR detection object #784

Color images and BPZ results
Catalog: 784.cat
Black segments are analyzed here.   Roll mouse over color images to view segments.
Best viewed in a wide browser window (1200 pixels or more).   Download SED & P(z) plots to view larger versions.
In P(z) plots: Yellow lines mark the cluster redshift z = 0.546,  

Object #784   x,y = (5671, 998)   RA, Dec = (00:18:26.160, 16:23:36.24) = (4.60900, 16.39340)   BPZ = 1.129 [1.033--1.769]   type = 1.00 (Ell7_A_0)   stellarity = 0.02   chisq2 = 0.00   ODDS = 0.92   z_cluster = 0.546