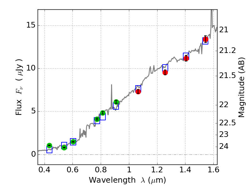
RXC0018+16 ACS+IR detection object #7694

Color images and BPZ results
Catalog: 7694.cat
Black segments are analyzed here.   Roll mouse over color images to view segments.
Best viewed in a wide browser window (1200 pixels or more).   Download SED & P(z) plots to view larger versions.
In P(z) plots: Yellow lines mark the cluster redshift z = 0.546,  

Object #7694   x,y = (3939, 3594)   RA, Dec = (00:18:33.384, 16:26:11.76) = (4.63910, 16.43660)   BPZ = 0.755 [0.723--0.789]   type = 6.20 (Sbc_B10 - Scd_B10)   stellarity = 0.22   chisq2 = 0.22   ODDS = 1.00   z_cluster = 0.546