RXC0018+16 ACS+IR detection object #6595

Color images and BPZ results
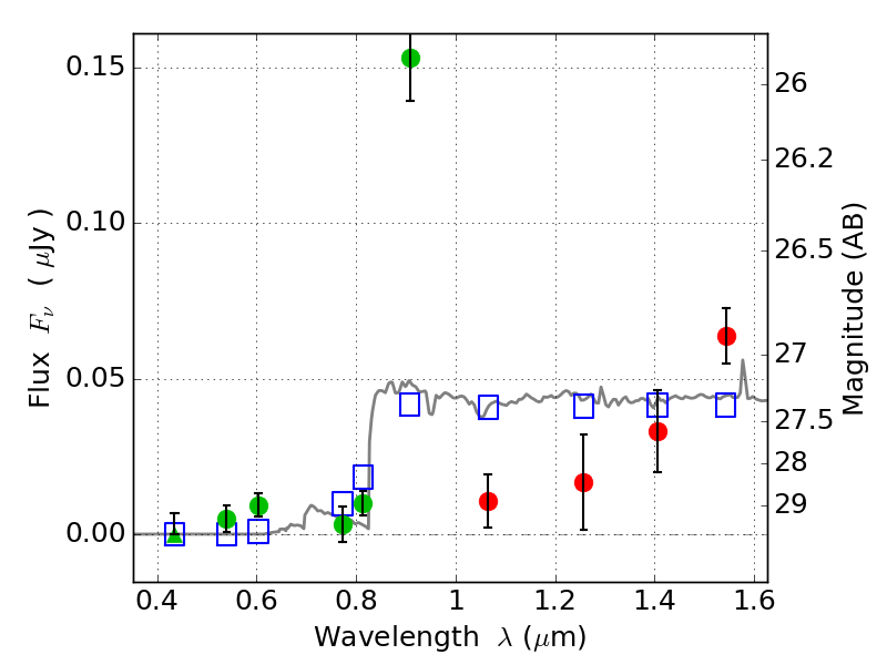
Catalog: 6595.cat
Black segments are analyzed here.   Roll mouse over color images to view segments.
Best viewed in a wide browser window (1200 pixels or more).   Download SED & P(z) plots to view larger versions.
In P(z) plots: Yellow lines mark the cluster redshift z = 0.546,  

Object #6595   x,y = (5195, 3646)   RA, Dec = (00:18:28.152, 16:26:15.00) = (4.61730, 16.43750)   BPZ = 5.787 [0.736--5.976]   type = 9.80 (SB3_B10 - SB2_B10)   stellarity = 0.35   chisq2 = 12.55   ODDS = 0.58   z_cluster = 0.546