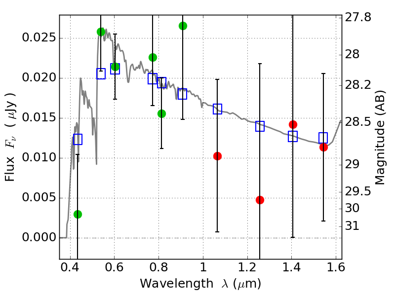
RXC0018+16 ACS+IR detection object #6364

Color images and BPZ results
Catalog: 6364.cat
Black segments are analyzed here.   Roll mouse over color images to view segments.
Best viewed in a wide browser window (1200 pixels or more).   Download SED & P(z) plots to view larger versions.
In P(z) plots: Yellow lines mark the cluster redshift z = 0.546,  

Object #6364   x,y = (5106, 3719)   RA, Dec = (00:18:28.512, 16:26:19.32) = (4.61880, 16.43870)   BPZ = 3.276 [0.186--3.698]   type = 11.00 (SB11_A_0_l)   stellarity = 0.35   chisq2 = 0.67   ODDS = 0.31   z_cluster = 0.546