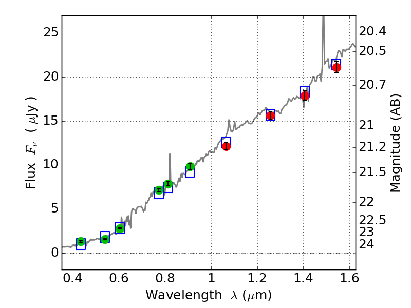
RXC0018+16 ACS+IR detection object #6186

Color images and BPZ results
Catalog: 6186.cat
Black segments are analyzed here.   Roll mouse over color images to view segments.
Best viewed in a wide browser window (1200 pixels or more).   Download SED & P(z) plots to view larger versions.
In P(z) plots: Yellow lines mark the cluster redshift z = 0.546,  

Object #6186   x,y = (4078, 3457)   RA, Dec = (00:18:32.808, 16:26:03.84) = (4.63670, 16.43440)   BPZ = 0.636 [0.573--0.727]   type = 6.20 (Sbc_B10 - Scd_B10)   stellarity = 0.03   chisq2 = 0.08   ODDS = 0.90   z_cluster = 0.546