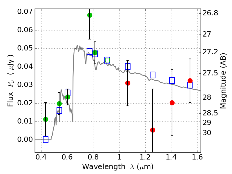
RXC0018+16 ACS+IR detection object #5876

Color images and BPZ results
Catalog: 5876.cat
Black segments are analyzed here.   Roll mouse over color images to view segments.
Best viewed in a wide browser window (1200 pixels or more).   Download SED & P(z) plots to view larger versions.
In P(z) plots: Yellow lines mark the cluster redshift z = 0.546,  

Object #5876   x,y = (2986, 3966)   RA, Dec = (00:18:37.368, 16:26:34.44) = (4.65570, 16.44290)   BPZ = 4.303 [0.407--4.515]   type = 11.00 (SB11_A_0_l)   stellarity = 0.36   chisq2 = 1.12   ODDS = 0.68   z_cluster = 0.546