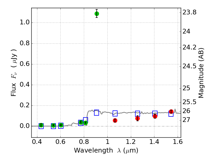
RXC0018+16 ACS+IR detection object #5198

Color images and BPZ results
Catalog: 5198.cat
Black segments are analyzed here.   Roll mouse over color images to view segments.
Best viewed in a wide browser window (1200 pixels or more).   Download SED & P(z) plots to view larger versions.
In P(z) plots: Yellow lines mark the cluster redshift z = 0.546,  

Object #5198   x,y = (4963, 4129)   RA, Dec = (00:18:29.112, 16:26:44.16) = (4.62130, 16.44560)   BPZ = 5.787 [5.678--5.876]   type = 10.00 (SB3_B10)   stellarity = 0.80   chisq2 = 84.88   ODDS = 1.00   z_cluster = 0.546