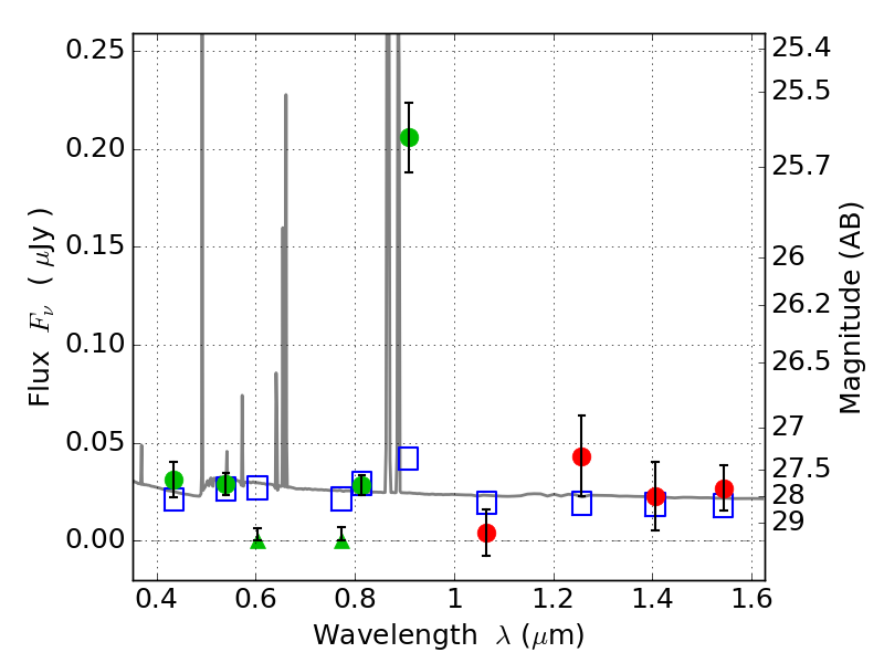
RXC0018+16 ACS+IR detection object #4848

Color images and BPZ results
Catalog: 4848.cat
Black segments are analyzed here.   Roll mouse over color images to view segments.
Best viewed in a wide browser window (1200 pixels or more).   Download SED & P(z) plots to view larger versions.
In P(z) plots: Yellow lines mark the cluster redshift z = 0.546,  

Object #4848   x,y = (4671, 4292)   RA, Dec = (00:18:30.336, 16:26:53.88) = (4.62640, 16.44830)   BPZ = 0.320 [0.296--1.234]   type = 11.00 (SB11_A_0_l)   stellarity = 0.11   chisq2 = 15.88   ODDS = 0.89   z_cluster = 0.546