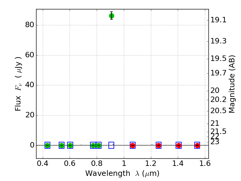
RXC0018+16 ACS+IR detection object #4440

Color images and BPZ results
Catalog: 4440.cat
Black segments are analyzed here.   Roll mouse over color images to view segments.
Best viewed in a wide browser window (1200 pixels or more).   Download SED & P(z) plots to view larger versions.
In P(z) plots: Yellow lines mark the cluster redshift z = 0.546,  

Object #4440   x,y = (4276, 2549)   RA, Dec = (00:18:31.992, 16:25:09.12) = (4.63330, 16.41920)   BPZ = 0.842 [0.124--3.327]   type = 10.20 (SB3_B10 - SB11_A_0_l)   stellarity = 1.00   chisq2 = 165.20   ODDS = 0.06   z_cluster = 0.546