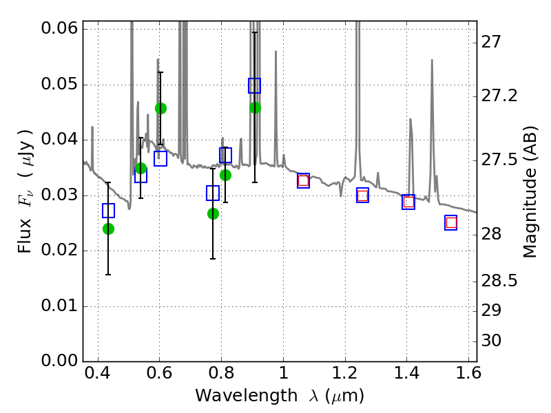
RXC0018+16 ACS+IR detection object #4408

Color images and BPZ results
Catalog: 4408.cat
Black segments are analyzed here.   Roll mouse over color images to view segments.
Best viewed in a wide browser window (1200 pixels or more).   Download SED & P(z) plots to view larger versions.
In P(z) plots: Yellow lines mark the cluster redshift z = 0.546,  

Object #4408   x,y = (5378, 2540)   RA, Dec = (00:18:27.384, 16:25:08.76) = (4.61410, 16.41910)   BPZ = 0.368 [0.295--3.382]   type = 10.50 (SB11_A_0_l - SB3_B10)   stellarity = 0.35   chisq2 = 0.78   ODDS = 0.08   z_cluster = 0.546