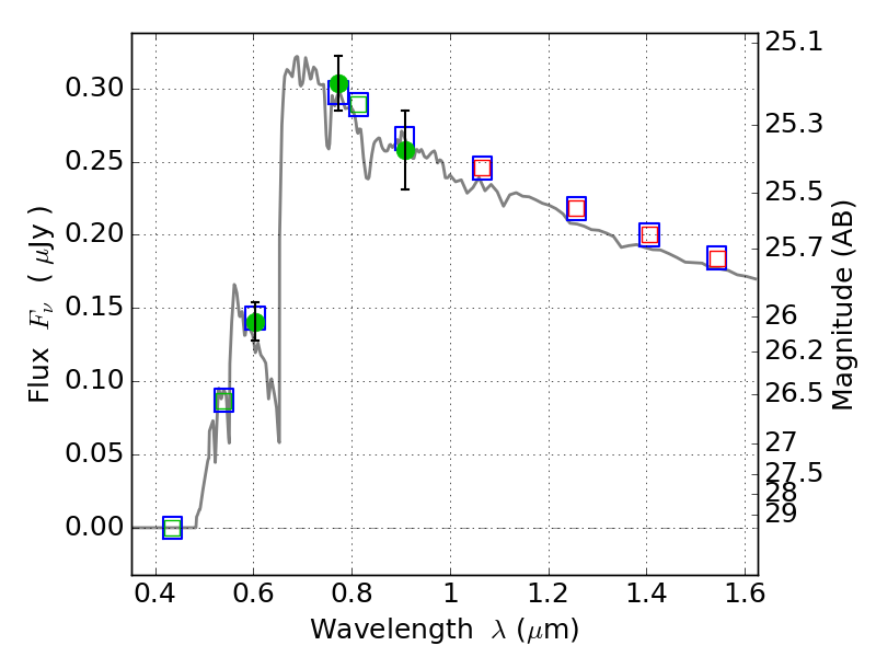
RXC0018+16 ACS+IR detection object #414

Color images and BPZ results
Catalog: 414.cat
Black segments are analyzed here.   Roll mouse over color images to view segments.
Best viewed in a wide browser window (1200 pixels or more).   Download SED & P(z) plots to view larger versions.
In P(z) plots: Yellow lines mark the cluster redshift z = 0.546,  

Object #414   x,y = (5779, 922)   RA, Dec = (00:18:25.704, 16:23:31.56) = (4.60710, 16.39210)   BPZ = 4.367 [0.530--4.486]   type = 11.00 (SB11_A_0_l)   stellarity = 0.00   chisq2 = 0.12   ODDS = 0.64   z_cluster = 0.546