RXC0018+16 ACS+IR detection object #3976

Color images and BPZ results
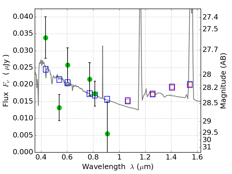
Catalog: 3976.cat
Black segments are analyzed here.   Roll mouse over color images to view segments.
Best viewed in a wide browser window (1200 pixels or more).   Download SED & P(z) plots to view larger versions.
In P(z) plots: Yellow lines mark the cluster redshift z = 0.546,  

Object #3976   x,y = (2790, 2403)   RA, Dec = (00:18:38.184, 16:25:00.48) = (4.65910, 16.41680)   BPZ = 2.121 [0.575--2.652]   type = 10.80 (SB11_A_0_l - SB3_B10)   stellarity = 0.36   chisq2 = 2.97   ODDS = 0.20   z_cluster = 0.546