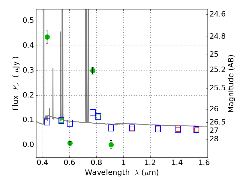
RXC0018+16 ACS+IR detection object #3958

Color images and BPZ results
Catalog: 3958.cat
Black segments are analyzed here.   Roll mouse over color images to view segments.
Best viewed in a wide browser window (1200 pixels or more).   Download SED & P(z) plots to view larger versions.
In P(z) plots: Yellow lines mark the cluster redshift z = 0.546,  

Object #3958   x,y = (5816, 2399)   RA, Dec = (00:18:25.560, 16:25:00.12) = (4.60650, 16.41670)   BPZ = 0.100 [0.083--0.129]   type = 11.00 (SB11_A_0_l)   stellarity = 0.77   chisq2 = 340.70   ODDS = 1.00   z_cluster = 0.546