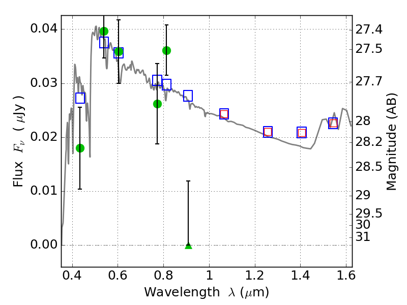
RXC0018+16 ACS+IR detection object #3871

Color images and BPZ results
Catalog: 3871.cat
Black segments are analyzed here.   Roll mouse over color images to view segments.
Best viewed in a wide browser window (1200 pixels or more).   Download SED & P(z) plots to view larger versions.
In P(z) plots: Yellow lines mark the cluster redshift z = 0.546,  

Object #3871   x,y = (5370, 2369)   RA, Dec = (00:18:27.408, 16:24:58.32) = (4.61420, 16.41620)   BPZ = 2.938 [0.188--3.436]   type = 11.00 (SB11_A_0_l)   stellarity = 0.36   chisq2 = 2.82   ODDS = 0.36   z_cluster = 0.546