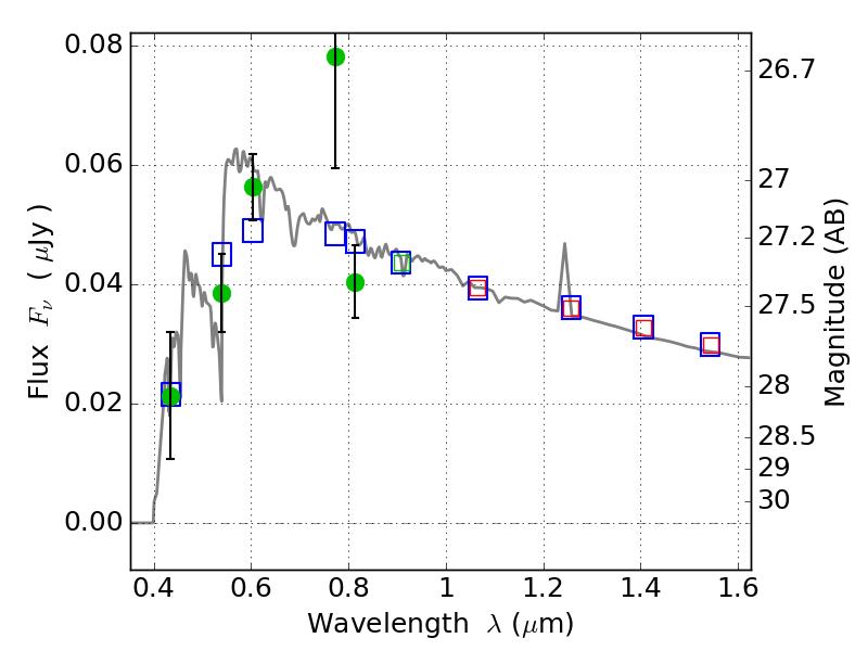
RXC0018+16 ACS+IR detection object #3828

Color images and BPZ results
Catalog: 3828.cat
Black segments are analyzed here.   Roll mouse over color images to view segments.
Best viewed in a wide browser window (1200 pixels or more).   Download SED & P(z) plots to view larger versions.
In P(z) plots: Yellow lines mark the cluster redshift z = 0.546,  

Object #3828   x,y = (2356, 2352)   RA, Dec = (00:18:39.984, 16:24:57.60) = (4.66660, 16.41600)   BPZ = 3.444 [0.211--3.686]   type = 11.00 (SB11_A_0_l)   stellarity = 0.55   chisq2 = 2.72   ODDS = 0.28   z_cluster = 0.546