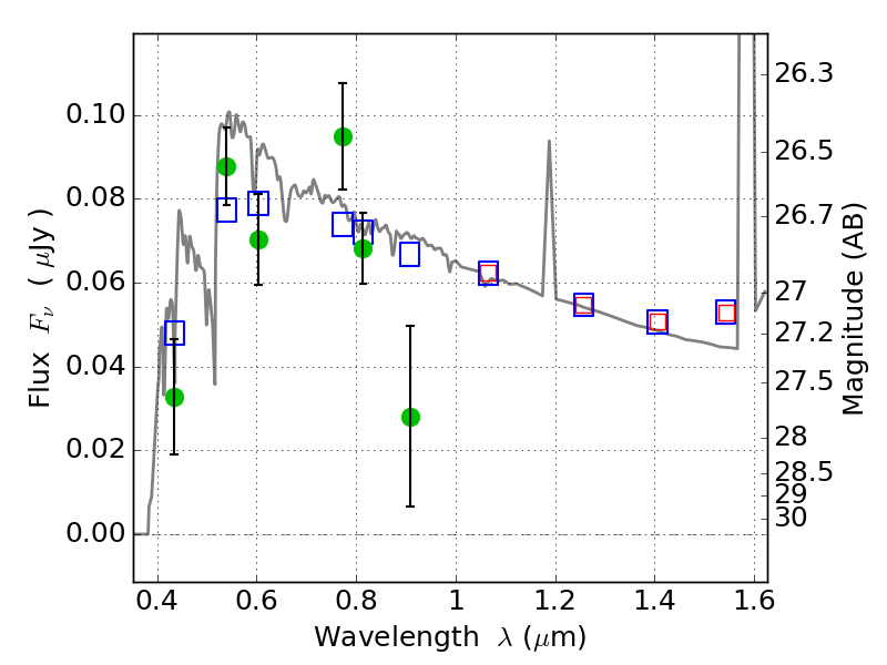
RXC0018+16 ACS+IR detection object #2748

Color images and BPZ results
Catalog: 2748.cat
Black segments are analyzed here.   Roll mouse over color images to view segments.
Best viewed in a wide browser window (1200 pixels or more).   Download SED & P(z) plots to view larger versions.
In P(z) plots: Yellow lines mark the cluster redshift z = 0.546,  

Object #2748   x,y = (3494, 1986)   RA, Dec = (00:18:35.232, 16:24:35.28) = (4.64680, 16.40980)   BPZ = 3.246 [0.100--3.502]   type = 11.00 (SB11_A_0_l)   stellarity = 0.35   chisq2 = 2.69   ODDS = 0.43   z_cluster = 0.546