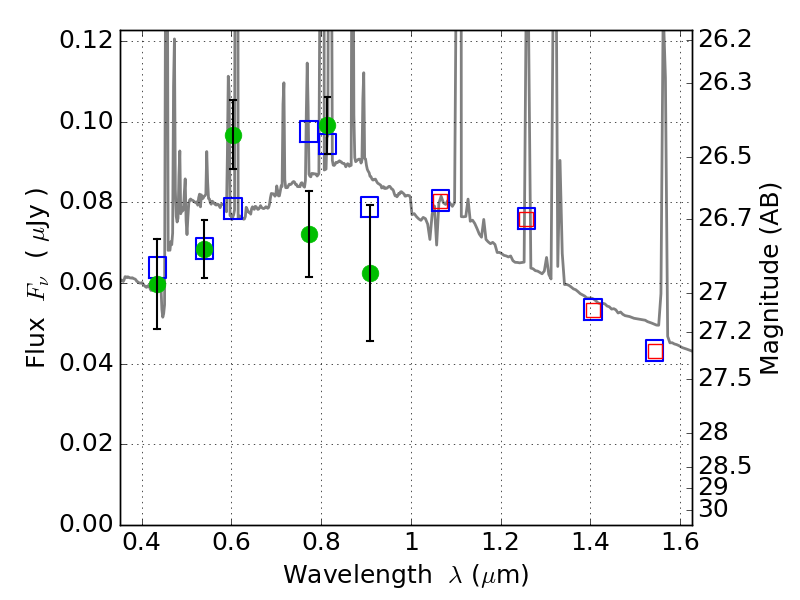
RXC0018+16 ACS+IR detection object #1949

Color images and BPZ results
Catalog: 1949.cat
Black segments are analyzed here.   Roll mouse over color images to view segments.
Best viewed in a wide browser window (1200 pixels or more).   Download SED & P(z) plots to view larger versions.
In P(z) plots: Yellow lines mark the cluster redshift z = 0.546,  

Object #1949   x,y = (5205, 1699)   RA, Dec = (00:18:28.104, 16:24:18.36) = (4.61710, 16.40510)   BPZ = 0.225 [0.107--3.361]   type = 10.00 (SB3_B10)   stellarity = 0.71   chisq2 = 2.73   ODDS = 0.07   z_cluster = 0.546