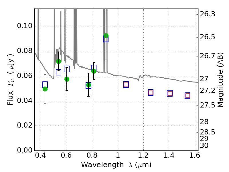
RXC0018+16 ACS+IR detection object #13816

Color images and BPZ results
Catalog: 13816.cat
Black segments are analyzed here.   Roll mouse over color images to view segments.
Best viewed in a wide browser window (1200 pixels or more).   Download SED & P(z) plots to view larger versions.
In P(z) plots: Yellow lines mark the cluster redshift z = 0.546,  

Object #13816   x,y = (5185, 4583)   RA, Dec = (00:18:28.200, 16:27:11.16) = (4.61750, 16.45310)   BPZ = 0.356 [0.308--3.139]   type = 11.00 (SB11_A_0_l)   stellarity = 0.37   chisq2 = 0.51   ODDS = 0.11   z_cluster = 0.546