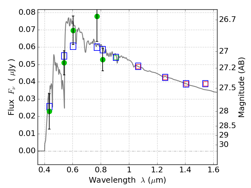
RXC0018+16 ACS+IR detection object #13557

Color images and BPZ results
Catalog: 13557.cat
Black segments are analyzed here.   Roll mouse over color images to view segments.
Best viewed in a wide browser window (1200 pixels or more).   Download SED & P(z) plots to view larger versions.
In P(z) plots: Yellow lines mark the cluster redshift z = 0.546,  

Object #13557   x,y = (2813, 4764)   RA, Dec = (00:18:38.088, 16:27:22.32) = (4.65870, 16.45620)   BPZ = 3.460 [0.216--3.680]   type = 11.00 (SB11_A_0_l)   stellarity = 0.08   chisq2 = 1.65   ODDS = 0.37   z_cluster = 0.546