RXC0018+16 ACS+IR detection object #13552

Color images and BPZ results
Catalog: 13552.cat
Black segments are analyzed here.   Roll mouse over color images to view segments.
Best viewed in a wide browser window (1200 pixels or more).   Download SED & P(z) plots to view larger versions.
In P(z) plots: Yellow lines mark the cluster redshift z = 0.546,  

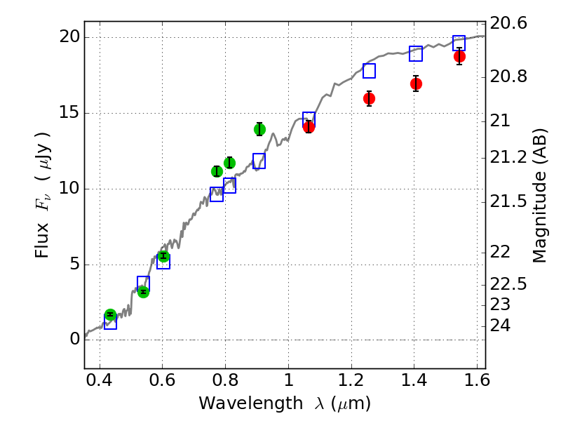
Object #13552   x,y = (4134, 4708)   RA, Dec = (00:18:32.568, 16:27:18.72) = (4.63570, 16.45520)   BPZ = 0.260 [0.238--0.285]   type = 4.00 (Ell4_A_0)   stellarity = 0.03   chisq2 = 1.35   ODDS = 0.99   z_cluster = 0.546