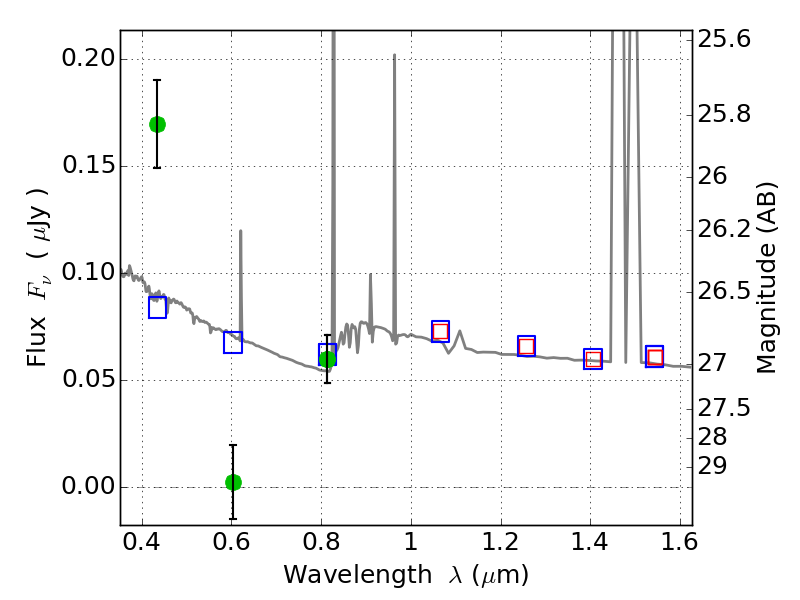
PLCKG308-20 ACS+IR detection object #908

Color images and BPZ results
Catalog: 908.cat
Black segments are analyzed here.   Roll mouse over color images to view segments.
Best viewed in a wide browser window (1200 pixels or more).   Download SED & P(z) plots to view larger versions.
In P(z) plots: Yellow lines mark the cluster redshift z = 0.480,  

Object #908   x,y = (3532, 3850)   RA, Dec = (15:18:20.544, -81:29:13.92) = (229.58560, -81.48720)   BPZ = 1.217 [0.870--10.189]   type = 11.00 (SB11_A_0_l)   chisq2 = 29.40   ODDS = 0.15   z_cluster = 0.480