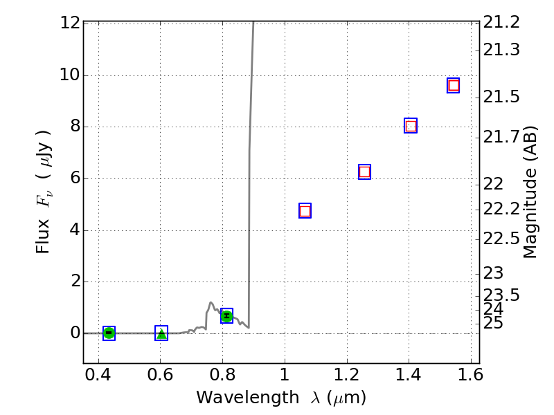
PLCKG308-20 ACS+IR detection object #6765

Color images and BPZ results
Catalog: 6765.cat
Black segments are analyzed here.   Roll mouse over color images to view segments.
Best viewed in a wide browser window (1200 pixels or more).   Download SED & P(z) plots to view larger versions.
In P(z) plots: Yellow lines mark the cluster redshift z = 0.480,  

Object #6765   x,y = (3180, 699)   RA, Dec = (15:18:29.952, -81:32:22.92) = (229.62480, -81.53970)   BPZ = 6.294 [5.931--8.935]   type = 6.00 (Sbc_B10)   chisq2 = 0.00   ODDS = 0.38   z_cluster = 0.480