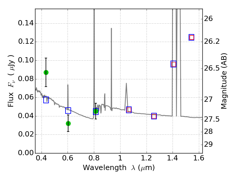
PLCKG308-20 ACS+IR detection object #6107

Color images and BPZ results
Catalog: 6107.cat
Black segments are analyzed here.   Roll mouse over color images to view segments.
Best viewed in a wide browser window (1200 pixels or more).   Download SED & P(z) plots to view larger versions.
In P(z) plots: Yellow lines mark the cluster redshift z = 0.480,  

Object #6107   x,y = (2378, 1087)   RA, Dec = (15:18:51.744, -81:31:59.52) = (229.71560, -81.53320)   BPZ = 1.151 [0.599--2.566]   type = 11.00 (SB11_A_0_l)   chisq2 = 4.08   ODDS = 0.13   z_cluster = 0.480