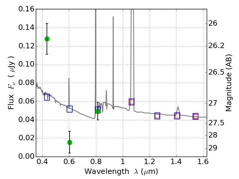
PLCKG308-20 ACS+IR detection object #5737

Color images and BPZ results
Catalog: 5737.cat
Black segments are analyzed here.   Roll mouse over color images to view segments.
Best viewed in a wide browser window (1200 pixels or more).   Download SED & P(z) plots to view larger versions.
In P(z) plots: Yellow lines mark the cluster redshift z = 0.480,  

Object #5737   x,y = (2041, 1285)   RA, Dec = (15:19:00.912, -81:31:48.00) = (229.75380, -81.53000)   BPZ = 1.141 [0.795--2.654]   type = 11.00 (SB11_A_0_l)   chisq2 = 21.81   ODDS = 0.16   z_cluster = 0.480