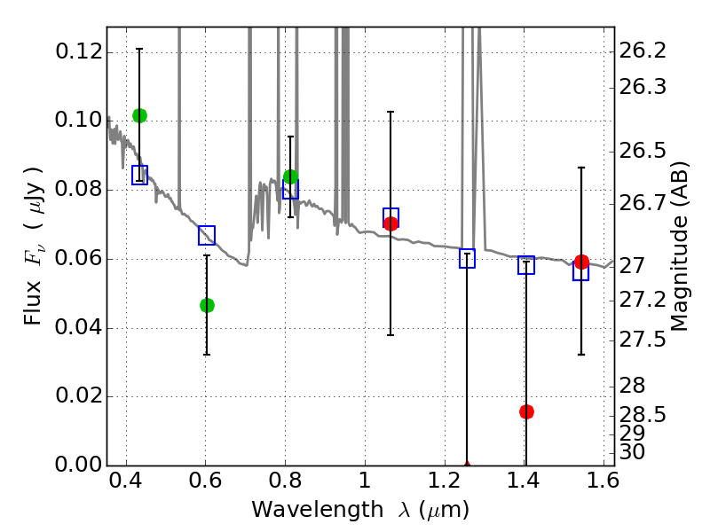
PLCKG308-20 ACS+IR detection object #5695

Color images and BPZ results
Catalog: 5695.cat
Black segments are analyzed here.   Roll mouse over color images to view segments.
Best viewed in a wide browser window (1200 pixels or more).   Download SED & P(z) plots to view larger versions.
In P(z) plots: Yellow lines mark the cluster redshift z = 0.480,  

Object #5695   x,y = (2669, 1302)   RA, Dec = (15:18:43.872, -81:31:46.92) = (229.68280, -81.52970)   BPZ = 0.906 [0.113--2.545]   type = 11.00 (SB11_A_0_l)   chisq2 = 0.65   ODDS = 0.23   z_cluster = 0.480