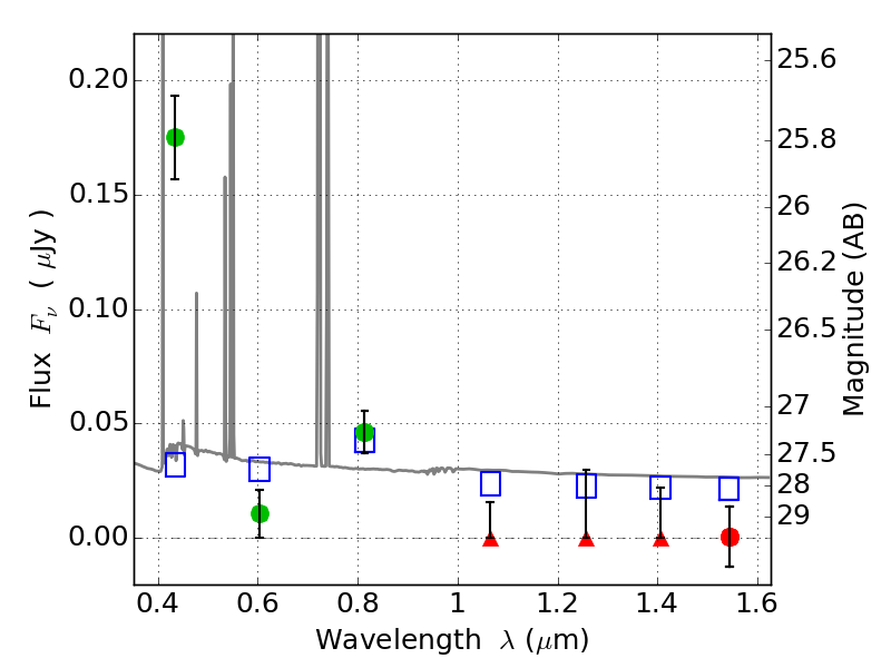
PLCKG308-20 ACS+IR detection object #5479

Color images and BPZ results
Catalog: 5479.cat
Black segments are analyzed here.   Roll mouse over color images to view segments.
Best viewed in a wide browser window (1200 pixels or more).   Download SED & P(z) plots to view larger versions.
In P(z) plots: Yellow lines mark the cluster redshift z = 0.480,  

Object #5479   x,y = (2469, 1428)   RA, Dec = (15:18:49.296, -81:31:39.36) = (229.70540, -81.52760)   BPZ = 0.101 [0.074--2.418]   type = 11.00 (SB11_A_0_l)   chisq2 = 10.68   ODDS = 0.44   z_cluster = 0.480