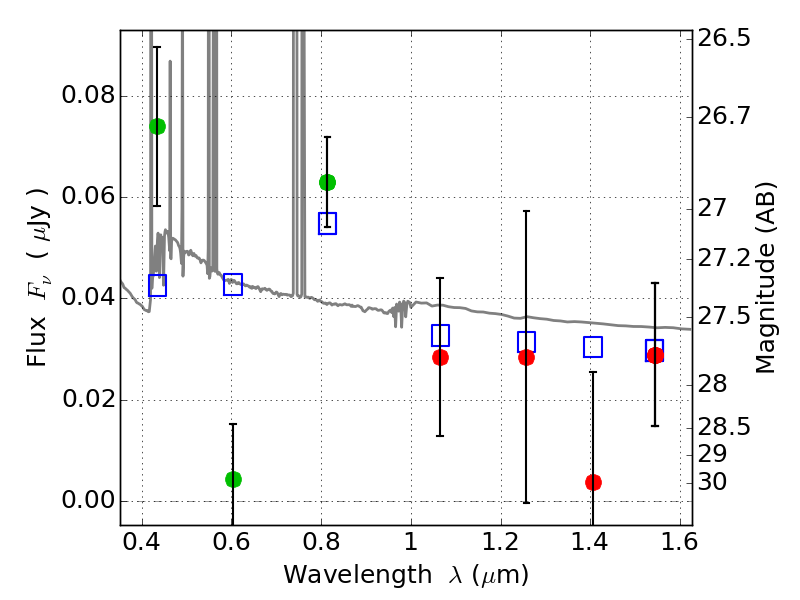
PLCKG308-20 ACS+IR detection object #5264

Color images and BPZ results
Catalog: 5264.cat
Black segments are analyzed here.   Roll mouse over color images to view segments.
Best viewed in a wide browser window (1200 pixels or more).   Download SED & P(z) plots to view larger versions.
In P(z) plots: Yellow lines mark the cluster redshift z = 0.480,  

Object #5264   x,y = (2286, 1623)   RA, Dec = (15:18:54.264, -81:31:27.48) = (229.72610, -81.52430)   BPZ = 0.128 [0.087--0.967]   type = 11.00 (SB11_A_0_l)   chisq2 = 2.57   ODDS = 0.52   z_cluster = 0.480