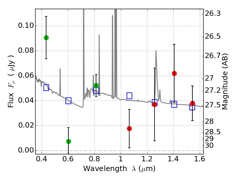
PLCKG308-20 ACS+IR detection object #4889

Color images and BPZ results
Catalog: 4889.cat
Black segments are analyzed here.   Roll mouse over color images to view segments.
Best viewed in a wide browser window (1200 pixels or more).   Download SED & P(z) plots to view larger versions.
In P(z) plots: Yellow lines mark the cluster redshift z = 0.480,  

Object #4889   x,y = (2086, 1727)   RA, Dec = (15:18:59.688, -81:31:21.36) = (229.74870, -81.52260)   BPZ = 0.927 [0.210--2.528]   type = 10.90 (SB11_A_0_l - SB3_B10)   chisq2 = 2.51   ODDS = 0.42   z_cluster = 0.480