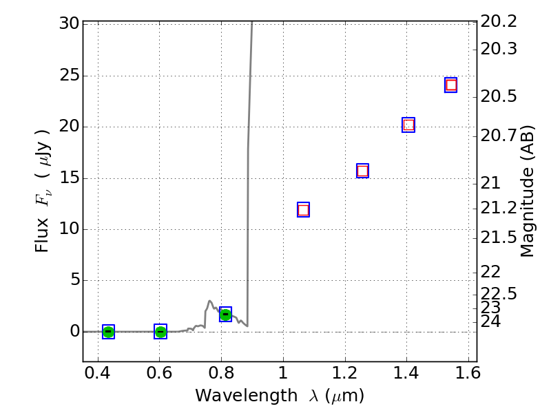
PLCKG308-20 ACS+IR detection object #4831

Color images and BPZ results
Catalog: 4831.cat
Black segments are analyzed here.   Roll mouse over color images to view segments.
Best viewed in a wide browser window (1200 pixels or more).   Download SED & P(z) plots to view larger versions.
In P(z) plots: Yellow lines mark the cluster redshift z = 0.480,  

Object #4831   x,y = (723, 1757)   RA, Dec = (15:19:36.648, -81:31:19.20) = (229.90270, -81.52200)   BPZ = 6.293 [5.977--8.592]   type = 6.00 (Sbc_B10)   chisq2 = 0.00   ODDS = 0.46   z_cluster = 0.480