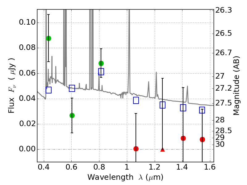
PLCKG308-20 ACS+IR detection object #4822

Color images and BPZ results
Catalog: 4822.cat
Black segments are analyzed here.   Roll mouse over color images to view segments.
Best viewed in a wide browser window (1200 pixels or more).   Download SED & P(z) plots to view larger versions.
In P(z) plots: Yellow lines mark the cluster redshift z = 0.480,  

Object #4822   x,y = (3249, 1761)   RA, Dec = (15:18:28.128, -81:31:19.20) = (229.61720, -81.52200)   BPZ = 0.120 [0.081--1.061]   type = 10.70 (SB11_A_0_l - SB3_B10)   chisq2 = 1.83   ODDS = 0.46   z_cluster = 0.480