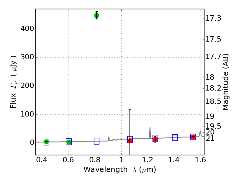
PLCKG308-20 ACS+IR detection object #4610

Color images and BPZ results
Catalog: 4610.cat
Black segments are analyzed here.   Roll mouse over color images to view segments.
Best viewed in a wide browser window (1200 pixels or more).   Download SED & P(z) plots to view larger versions.
In P(z) plots: Yellow lines mark the cluster redshift z = 0.480,  

Object #4610   x,y = (1782, 1761)   RA, Dec = (15:19:07.944, -81:31:19.20) = (229.78310, -81.52200)   BPZ = 1.430 [1.370--1.516]   type = 7.60 (SB1_B10 - Scd_B10)   chisq2 = 369.50   ODDS = 0.99   z_cluster = 0.480