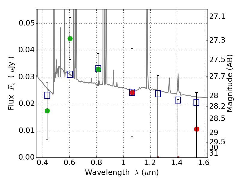
PLCKG308-20 ACS+IR detection object #4595

Color images and BPZ results
Catalog: 4595.cat
Black segments are analyzed here.   Roll mouse over color images to view segments.
Best viewed in a wide browser window (1200 pixels or more).   Download SED & P(z) plots to view larger versions.
In P(z) plots: Yellow lines mark the cluster redshift z = 0.480,  

Object #4595   x,y = (3388, 1883)   RA, Dec = (15:18:24.360, -81:31:12.00) = (229.60150, -81.52000)   BPZ = 0.298 [0.047--3.735]   type = 10.80 (SB11_A_0_l - SB3_B10)   chisq2 = 0.87   ODDS = 0.16   z_cluster = 0.480