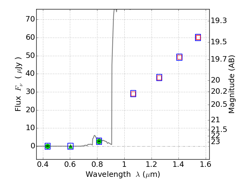
PLCKG308-20 ACS+IR detection object #4579

Color images and BPZ results
Catalog: 4579.cat
Black segments are analyzed here.   Roll mouse over color images to view segments.
Best viewed in a wide browser window (1200 pixels or more).   Download SED & P(z) plots to view larger versions.
In P(z) plots: Yellow lines mark the cluster redshift z = 0.480,  

Object #4579   x,y = (728, 1886)   RA, Dec = (15:19:36.504, -81:31:11.64) = (229.90210, -81.51990)   BPZ = 6.463 [6.144--8.510]   type = 6.00 (Sbc_B10)   chisq2 = 0.00   ODDS = 0.50   z_cluster = 0.480