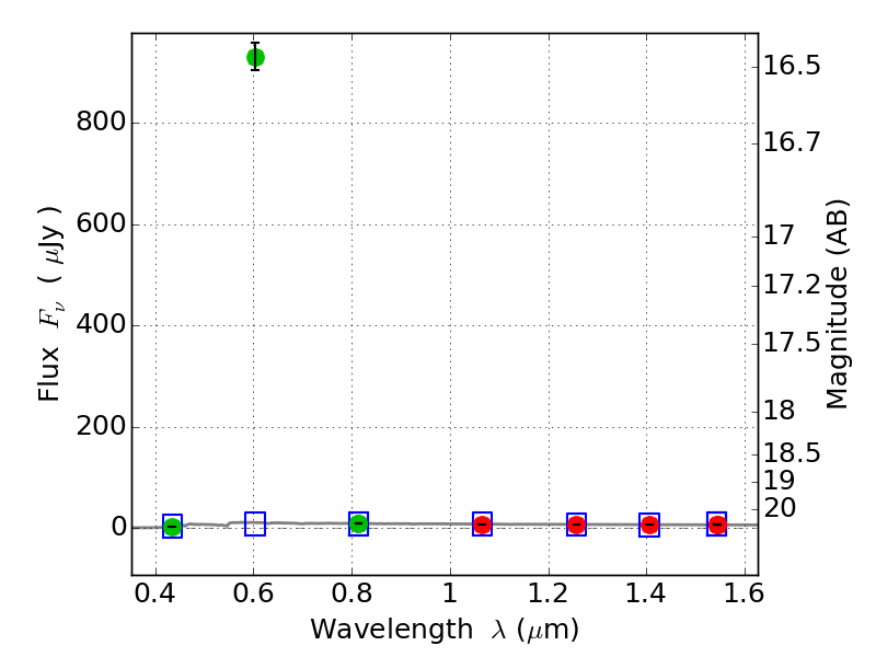
PLCKG308-20 ACS+IR detection object #4557

Color images and BPZ results
Catalog: 4557.cat
Black segments are analyzed here.   Roll mouse over color images to view segments.
Best viewed in a wide browser window (1200 pixels or more).   Download SED & P(z) plots to view larger versions.
In P(z) plots: Yellow lines mark the cluster redshift z = 0.480,  

Object #4557   x,y = (2583, 1925)   RA, Dec = (15:18:46.200, -81:31:09.48) = (229.69250, -81.51930)   BPZ = 3.504 [3.488--3.519]   type = 10.50 (SB11_A_0_l - SB3_B10)   chisq2 = 163.10   ODDS = 1.00   z_cluster = 0.480