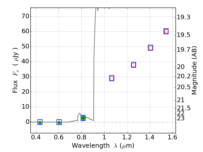
PLCKG308-20 ACS+IR detection object #4522

Color images and BPZ results
Catalog: 4522.cat
Black segments are analyzed here.   Roll mouse over color images to view segments.
Best viewed in a wide browser window (1200 pixels or more).   Download SED & P(z) plots to view larger versions.
In P(z) plots: Yellow lines mark the cluster redshift z = 0.480,  

Object #4522   x,y = (746, 1913)   RA, Dec = (15:19:36.024, -81:31:09.84) = (229.90010, -81.51940)   BPZ = 6.470 [6.174--8.511]   type = 6.00 (Sbc_B10)   chisq2 = 0.00   ODDS = 0.50   z_cluster = 0.480