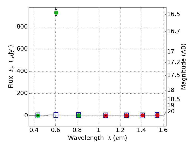
PLCKG308-20 ACS+IR detection object #4323

Color images and BPZ results
Catalog: 4323.cat
Black segments are analyzed here.   Roll mouse over color images to view segments.
Best viewed in a wide browser window (1200 pixels or more).   Download SED & P(z) plots to view larger versions.
In P(z) plots: Yellow lines mark the cluster redshift z = 0.480,  

Object #4323   x,y = (2569, 1935)   RA, Dec = (15:18:46.584, -81:31:08.76) = (229.69410, -81.51910)   BPZ = 3.351 [3.241--3.453]   type = 10.30 (SB3_B10 - SB11_A_0_l)   chisq2 = 165.30   ODDS = 1.00   z_cluster = 0.480