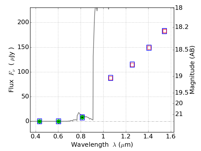
PLCKG308-20 ACS+IR detection object #3664

Color images and BPZ results
Catalog: 3664.cat
Black segments are analyzed here.   Roll mouse over color images to view segments.
Best viewed in a wide browser window (1200 pixels or more).   Download SED & P(z) plots to view larger versions.
In P(z) plots: Yellow lines mark the cluster redshift z = 0.480,  

Object #3664   x,y = (734, 2428)   RA, Dec = (15:19:36.288, -81:30:39.24) = (229.90120, -81.51090)   BPZ = 6.485 [6.311--7.941]   type = 6.00 (Sbc_B10)   chisq2 = 0.00   ODDS = 0.66   z_cluster = 0.480