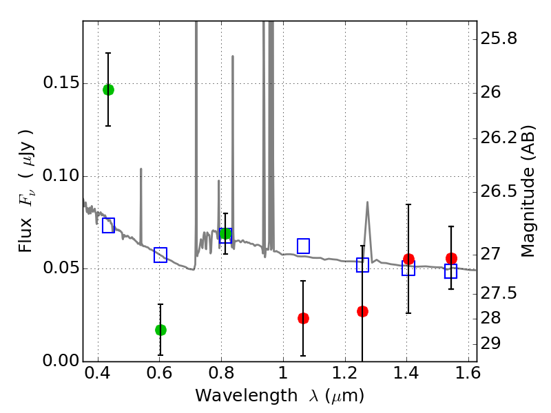
PLCKG308-20 ACS+IR detection object #3645

Color images and BPZ results
Catalog: 3645.cat
Black segments are analyzed here.   Roll mouse over color images to view segments.
Best viewed in a wide browser window (1200 pixels or more).   Download SED & P(z) plots to view larger versions.
In P(z) plots: Yellow lines mark the cluster redshift z = 0.480,  

Object #3645   x,y = (3172, 2435)   RA, Dec = (15:18:30.240, -81:30:38.88) = (229.62600, -81.51080)   BPZ = 0.928 [0.610--2.549]   type = 11.00 (SB11_A_0_l)   chisq2 = 3.61   ODDS = 0.23   z_cluster = 0.480