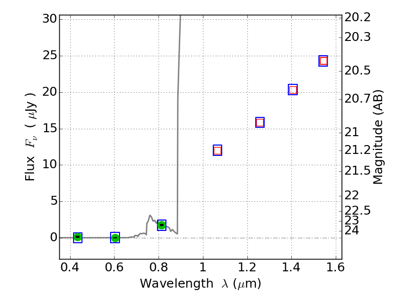
PLCKG308-20 ACS+IR detection object #3498

Color images and BPZ results
Catalog: 3498.cat
Black segments are analyzed here.   Roll mouse over color images to view segments.
Best viewed in a wide browser window (1200 pixels or more).   Download SED & P(z) plots to view larger versions.
In P(z) plots: Yellow lines mark the cluster redshift z = 0.480,  

Object #3498   x,y = (4277, 2496)   RA, Dec = (15:18:00.288, -81:30:34.92) = (229.50120, -81.50970)   BPZ = 6.280 [5.947--8.615]   type = 6.00 (Sbc_B10)   chisq2 = 0.00   ODDS = 0.46   z_cluster = 0.480