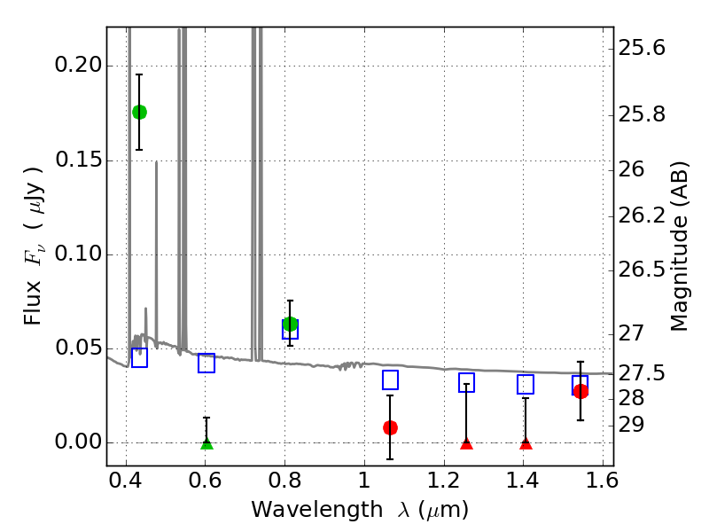
PLCKG308-20 ACS+IR detection object #3479

Color images and BPZ results
Catalog: 3479.cat
Black segments are analyzed here.   Roll mouse over color images to view segments.
Best viewed in a wide browser window (1200 pixels or more).   Download SED & P(z) plots to view larger versions.
In P(z) plots: Yellow lines mark the cluster redshift z = 0.480,  

Object #3479   x,y = (2553, 2503)   RA, Dec = (15:18:47.016, -81:30:34.92) = (229.69590, -81.50970)   BPZ = 0.101 [0.086--2.501]   type = 11.00 (SB11_A_0_l)   chisq2 = 7.97   ODDS = 0.25   z_cluster = 0.480