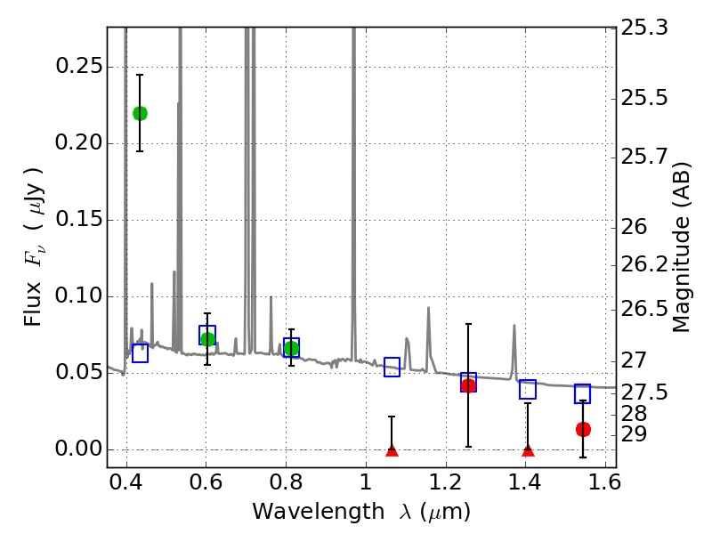
PLCKG308-20 ACS+IR detection object #3330

Color images and BPZ results
Catalog: 3330.cat
Black segments are analyzed here.   Roll mouse over color images to view segments.
Best viewed in a wide browser window (1200 pixels or more).   Download SED & P(z) plots to view larger versions.
In P(z) plots: Yellow lines mark the cluster redshift z = 0.480,  

Object #3330   x,y = (1794, 2576)   RA, Dec = (15:19:07.584, -81:30:30.24) = (229.78160, -81.50840)   BPZ = 0.066 [0.031--2.608]   type = 10.50 (SB11_A_0_l - SB3_B10)   chisq2 = 7.23   ODDS = 0.21   z_cluster = 0.480