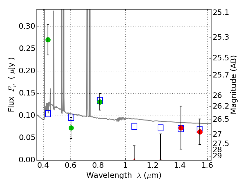
PLCKG308-20 ACS+IR detection object #3217

Color images and BPZ results
Catalog: 3217.cat
Black segments are analyzed here.   Roll mouse over color images to view segments.
Best viewed in a wide browser window (1200 pixels or more).   Download SED & P(z) plots to view larger versions.
In P(z) plots: Yellow lines mark the cluster redshift z = 0.480,  

Object #3217   x,y = (2183, 2625)   RA, Dec = (15:18:57.024, -81:30:27.36) = (229.73760, -81.50760)   BPZ = 0.096 [0.080--2.569]   type = 11.00 (SB11_A_0_l)   chisq2 = 4.27   ODDS = 0.26   z_cluster = 0.480