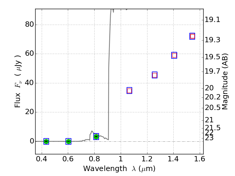
PLCKG308-20 ACS+IR detection object #3119

Color images and BPZ results
Catalog: 3119.cat
Black segments are analyzed here.   Roll mouse over color images to view segments.
Best viewed in a wide browser window (1200 pixels or more).   Download SED & P(z) plots to view larger versions.
In P(z) plots: Yellow lines mark the cluster redshift z = 0.480,  

Object #3119   x,y = (4257, 2672)   RA, Dec = (15:18:00.840, -81:30:24.48) = (229.50350, -81.50680)   BPZ = 6.470 [6.217--8.758]   type = 6.00 (Sbc_B10)   chisq2 = 0.00   ODDS = 0.52   z_cluster = 0.480